The photos you provided may be used to improve Bing image processing services.
Privacy Policy
|
Terms of Use
Can't use this link. Check that your link starts with 'http://' or 'https://' to try again.
Unable to process this search. Please try a different image or keywords.
Try Visual Search
Search, identify objects and text, translate, or solve problems using an image
Drag one or more images here,
upload an image
or
open camera
Drop images here to start your search
To use Visual Search, enable the camera in this browser
All
Search
Images
Inspiration
Create
Collections
Videos
Maps
News
More
Shopping
Flights
Travel
Notebook
Top suggestions for Tak Function Tutorial
Algebra
Tutorial
Into
Function
Solving Inverse
Functions
Function
Introduction
GCSE
Functions
Function
Tricks
Pinterest
Function
Functions
Made Easy
MATLAB
Function
What Is a
Function in Coding
Excel
Functions Tutorial
Basic Coding
Functions
Python Tutorial
in Wikipedia
Reduce Function
in Python
Tutorial
Teaching Fumctions
Functions
Domain and Range Examples
Function
Algebra Definition
What Is Azure
Functions
Python Functions Tutorial
for Beginners
Started with
Function
C
Functions
Linear Function
Graph Examples
Exponential Function
Graph
GCSE Function
Questions
Functions
GCSE Maths
Piecewise Function
Calculator
Making Linear Function
by Coding
GeoGebra Function
Graph
GCSE Functions
Worksheet
What Is Application of
Function
What Are Azure
Functions
How to Graph Piecewise
Functions
What Is
Functions IGCSE
Function
Instructions
Apply a Function
in Idea
Azure Functions
C# Tutorial
Easy Ways to Remember Basic
Function
Tabular
Function
Reflex Python
Tutorial
How to Make Simple Function in Origin
Golang
Tutorial
How to Make Large
Function
How Can Using
Function
How I Function
at My Best
Function
in C Programming
Activation Function
Types
Axxelus
Function
Engineering Mathematics
Examples
Math Functions
in Engineering
Explore more searches like Tak Function Tutorial
Invader Zim
Human
Completed
Meme
Clown
Nose
Invader
Zim
Juju
Game
Chicken
Suit
Tiki-Taka
Invader Zim
PFP
Invader Zim Wallpaper
Phone
Hanna
Anime
DreamWorld
Invader
Jenni
Video Game
Series
Power Juju
Characters
Clip
Art
Great Juju
Challenge
Staff
Dreams
Power Juju
Pilot
Shweta Singh
Aaj
Power Juju
Lok
Power Juju
Jeera
Power Juju
GameCube
Abhi
Kai
PFP Invader
Zim
Krekeri
Себе
Zim
People interested in Tak Function Tutorial also searched for
Invader Zim
Characters
Show
Poster
Invader
Zim vs
Restaurant
Stockholm
Beautiful Game
Board
Emositecc Invader
Zim
Autoplay all GIFs
Change autoplay and other image settings here
Autoplay all GIFs
Flip the switch to turn them on
Autoplay GIFs
Image size
All
Small
Medium
Large
Extra large
At least... *
Customized Width
x
Customized Height
px
Please enter a number for Width and Height
Color
All
Color only
Black & white
Type
All
Photograph
Clipart
Line drawing
Animated GIF
Transparent
Layout
All
Square
Wide
Tall
People
All
Just faces
Head & shoulders
Date
All
Past 24 hours
Past week
Past month
Past year
License
All
All Creative Commons
Public domain
Free to share and use
Free to share and use commercially
Free to modify, share, and use
Free to modify, share, and use commercially
Learn more
Clear filters
SafeSearch:
Moderate
Strict
Moderate (default)
Off
Filter
Algebra
Tutorial
Into
Function
Solving Inverse
Functions
Function
Introduction
GCSE
Functions
Function
Tricks
Pinterest
Function
Functions
Made Easy
MATLAB
Function
What Is a
Function in Coding
Excel
Functions Tutorial
Basic Coding
Functions
Python Tutorial
in Wikipedia
Reduce Function
in Python
Tutorial
Teaching Fumctions
Functions
Domain and Range Examples
Function
Algebra Definition
What Is Azure
Functions
Python Functions Tutorial
for Beginners
Started with
Function
C
Functions
Linear Function
Graph Examples
Exponential Function
Graph
GCSE Function
Questions
Functions
GCSE Maths
Piecewise Function
Calculator
Making Linear Function
by Coding
GeoGebra Function
Graph
GCSE Functions
Worksheet
What Is Application of
Function
What Are Azure
Functions
How to Graph Piecewise
Functions
What Is
Functions IGCSE
Function
Instructions
Apply a Function
in Idea
Azure Functions
C# Tutorial
Easy Ways to Remember Basic
Function
Tabular
Function
Reflex Python
Tutorial
How to Make Simple Function in Origin
Golang
Tutorial
How to Make Large
Function
How Can Using
Function
How I Function
at My Best
Function
in C Programming
Activation Function
Types
Axxelus
Function
Engineering Mathematics
Examples
Math Functions
in Engineering
900×575
thefwa.com
tak - The FWA
768×1024
scribd.com
Tak (Game) PDF | PDF
768×1024
es.scribd.com
Tak | PDF
443×445
eolianvr.com
TAK - Eolian
Related Products
And the Power of Juju
Knives
Game Board
1024×688
tak.network
What is TAK – TAK.network
300×233
tak.network
What is TAK – TAK.network
1394×784
tak.gov
TAK.gov | TAK 4.8 Feature Release
1280×430
tak.gov
TAK.gov | TAK 4.8 Feature Release
588×60
cs.stackexchange.com
algorithms - What is the TAK function for? - Computer Science Stack ...
1043×383
chegg.com
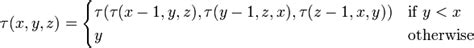
Solved The tak function is defined as follows: (tak(tak(x – | Chegg.com
768×1024
scribd.com
TAK | PDF
1380×832
mytecknet.com
Implementing Channels in TAK
Explore more searches like
Tak
Function Tutorial
Invader Zim Human
Completed Meme
Clown Nose
Invader Zim
Juju Game
Chicken Suit
Tiki-Taka
Invader Zim PFP
Invader Zim Wallpaper Ph
…
Hanna Anime
DreamWorld
Invader Jenni
1470×387
github.com
GitHub - AROA-DEV/TAK-imagery: Satelite images for TAK softweare ...
474×276
btv-technologies.com
tak: The service revolution in logistics | btv
1024×768
slideserve.com
PPT - TaK PowerPoint Presentation, free downlo…
1920×955
blog.phospho.ai
Forget about perplexity: Tak is it's n°1 alternative
1000×511
cloudrf.com
TAK server interface - CloudRF
1000×526
cloudrf.com
TAK server interface - CloudRF
768×390
cloudrf.com
TAK server interface - CloudRF
1000×529
cloudrf.com
TAK server interface - CloudRF
583×83
takproto.readthedocs.io
TAK Protocol Description - Encode and Decode TAK data with Python
740×472
researchgate.net
| Average performance on each ToM tak as a function of task version and ...
1559×708
www.deviantart.com
Tak Drawing by TakiDoodles on DeviantArt
400×208
Video Converter Factory
What is a TAK File & How to Play TAK Files?
1200×800
firstcomicsnews.com
Calvin’s Commentaries: Tak
1150×724
mathworld.wolfram.com
TAK Function -- from Wolfram MathWorld
People interested in
Tak
Function Tutorial
also searched for
Invader Zim Characters
Show Poster
Invader Zim vs
Restaurant Stockholm
Beautiful Game Board
Emositecc Invader Zim
228×54
mathworld.wolfram.com
TAK Function -- from Wolfram MathWorld
261×83
mathworld.wolfram.com
TAK Function -- from Wolfram MathWorld
402×53
mathworld.wolfram.com
TAK Function -- from Wolfram MathWorld
398×109
mathworld.wolfram.com
TAK Function -- from Wolfram MathWorld
700×400
ultraboardgames.com
How to play Tak | Official Rules | UltraBoardGames
2560×1602
toughstump.com
How to Get 3D Models in TAK - toughstump.com
2560×1602
toughstump.com
How to Get 3D Models in TAK - toughstump.com
865×454
mytecknet.com
Let's build a TAK Server - RPM Edition
600×327
mytecknet.com
Let's build a TAK Server - RPM Edition
Some results have been hidden because they may be inaccessible to you.
Show inaccessible results
Report an inappropriate content
Please select one of the options below.
Not Relevant
Offensive
Adult
Child Sexual Abuse
Feedback